Yüzey İntegralleri Ekstra Çözümlü Örnek Sorular
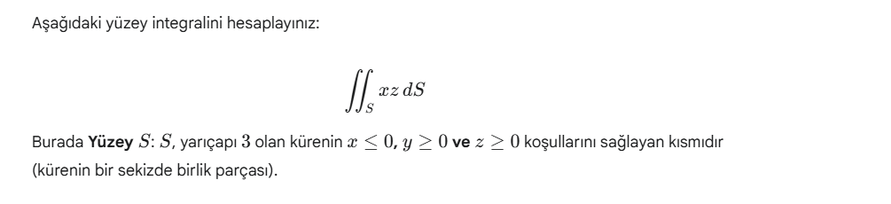
1. Soru
Çözüm videosu için tıklayınız
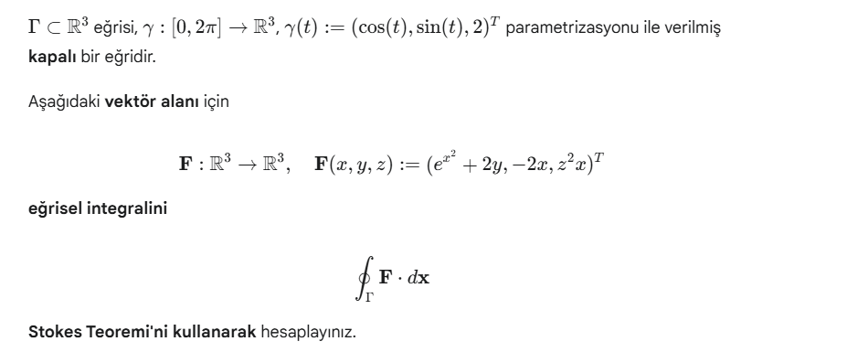
2. Soru
Çözüm videosu için tıklayınız
3. Soru
Çözüm videosu için tıklayınız
4. Soru
Çözüm videosu için tıklayınız
5. Soru
Çözüm videosu için tıklayınız
6. Soru
Çözüm videosu için tıklayınız
7. Soru
Çözüm videosu için tıklayınız
8. Soru
Çözüm videosu için tıklayınız
9. Soru
Çözüm videosu için tıklayınız
10. Soru
Çözüm videosu için tıklayınız
11. Soru
Çözüm videosu için tıklayınız
12. Soru
Çözüm videosu için tıklayınız
13. Soru
Çözüm videosu için tıklayınız
14. Soru
Çözüm videosu için tıklayınız
15. Soru
Çözüm videosu için tıklayınız
16. Soru
Çözüm videosu için tıklayınız
17. Soru
Çözüm videosu için tıklayınız
18. Soru
Çözüm videosu için tıklayınız
19. Soru
Çözüm videosu için tıklayınız
20. Soru
Çözüm videosu için tıklayınız