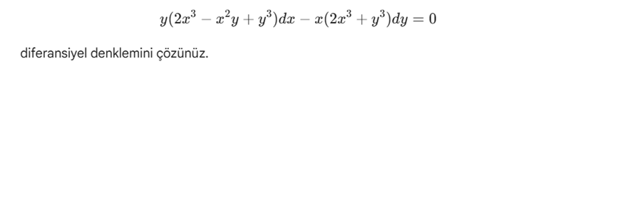
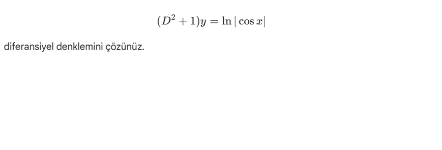
Diferansiyel Denklemler Final Sınav Provası-3